Surat Izin Tidak Masuk Kerja Karena Sakit

Jika ada sedang mencari Surat Izin Tidak Masuk Kerja Karena Sakit.

Polisi Berhasil Meringkus Penjual Surat Keterangan Sakit Palsu

Surat Izin Tidak Masuk Kerja Karena Sakit

21 Contoh Surat Izin Sakit Orang Tua Acara Keramaian Usaha

13 Contoh Surat Izin Tidak Masuk Sekolah Kuliah Kerja Kegiatan Dsb

Kumpulan Contoh Surat Izin Sekolah Sd Smp Sma Karena Sakit

Contoh Surat Izin Tidak Masuk Kerja

Contoh Surat Izin Sekolah Karena Sakit Yang Benar

Surat Izin Tidak Masuk Kerja Karena Sakit Matta Annisa

21 Contoh Surat Izin Tidak Masuk Kerja Lengkap

Contoh Surat Izin Tidak Masuk Kerja Karena Sakit Resmi Tulis Tangan

Contoh Surat Izin Sakit Yg Benar

5 Surat Izin Tidak Masuk Sekolah Ini Bikin Ngakak Satu Kelas Kocak

Miris Izin Tak Masuk Kerja Karena Sakit Tifus Pria Ini Malah

Izin Tak Masuk Kerja Karena Sakit Cowok Ini Malah Diberhentikan

Itulah surat izin tidak masuk kerja karena sakit yang dapat admin kumpulkan. Admin blog Kumpulan Surat Penting juga mengumpulkan gambar-gambar lainnya terkait surat izin tidak masuk kerja karena sakit dibawah ini.

Contoh Surat Ijin Orang Tua Wali Murid Anak Tidak Bisa Masuk

15 Surat Izin Tidak Masuk Telat Ke Sekolah Ini Alasanny

Contoh Surat Izin Tidak Masuk Sekolah Yang Baik Benar

Contoh Surat Izin Tidak Masuk Sekolah Kepentingan Keluarga Yang

20 Contoh Surat Izin Sakit Tidak Masuk Sekolah Kerja Kuliah

13 Contoh Surat Izin Tidak Masuk Sekolah Kuliah Kerja Kegiatan Dsb

Contoh Surat Izin Sakit Di Sekolah Resume Simple Templates

11 Contoh Surat Izin Tidak Masuk Sekolah Dan Cuti Kerja Lengkap

Surat Izin Sekolah Beserta Contoh Dan Gambar Surat Izin Dokter

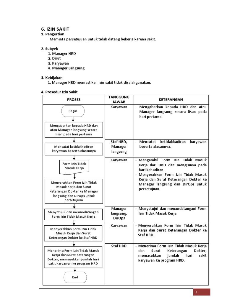
Flowchart Izin Sakit

Contoh Surat Keterangan Sakit Dari Puskesmas Untuk Pelajar Contoh

Templates Archives Bisnispro

Sekian yang admin bisa bantu mengenai surat izin tidak masuk kerja karena sakit. Terima kasih telah berkunjung ke blog Kumpulan Surat Penting 2018.


Subscribe to receive free email updates:

0 Response to "Surat Izin Tidak Masuk Kerja Karena Sakit"

Post a Comment