Surat Edaran Kapolri Nomor 6 Tahun 2015
Informasi mengenai Surat Edaran Kapolri Nomor 6 Tahun 2015.
Kitab undang undang hukum pidana. Peraturan kapolri nomor 6 tahun 2012 tentang tata cara pemberitahuan dan penerbitan surat tanda terima pemberitahuan kampanpdf peraturan kapolri nomor 9 tahun 2012 tentang surat izin mengemudipdf komentar 3 komentar.
Se6x2015 dalam angka 1 menunjuk bahwasebagai rujukan pembuatan surat edaran ini yaitu.
Surat edaran kapolri nomor 6 tahun 2015. Undang undang nomor 11 tahun 2005 tentang ratifikasi konvensi inlemational hak hak ekonomi. Se dengan nomor se06x2015 tersebut diteken jenderal badrodin haiti pada 8 oktober 2015 lalu dan telah dikirim ke kepala satuan wilayah kasatwil seluruh indonesia. Undang undang nomor 39 tahun 1999 tentang hak asasi manusia c.
Undang undang nomor 39 tahun 1999 tentang hak asasi manusia. Undang undang nomor 2 tahun 2002 tentang kepolisian negara republik indonesia. Surat tersebut diteken jenderal badrodin haiti pada 8 oktober 2015 lalu dan telah dikirim ke kepala satuan wilayah kasatwil seluruh indonesia.
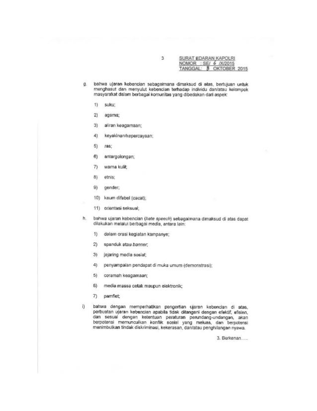
Persoalan mengenai ujaran kebencian hate speech semakin mendapatkan perhatian masyarakat baik nasional maupun internasional seiring dengan meningkatnya kepedulian terhadap perlindungan atas hak asasi manusia ham. Skep232iv2015 tanggal 19 april 2005 tentang kenaikan pangkat reguler di lingkungan kepolisian negara republik indonesia. Kitab undang undang hukum pidana b.
Undang undang nomor 2 tahun 2002. Peraturan kapolri nomor 10 tahun 2014 tentang perubahan atas surat keputusan kepolisian negara republik indonesia no. G lxi2015 tentang penanganan ujaran kebenclan hate speech 1 rujukan.
Setelah dikaji cukup lama surat edaran se kapolri soal penanganan ujaran kebencian atau hate speech akhirnya dikeluarkan. Surat edaran kapolri se nomor se6x2015 1. Se dengan nomor se06x2015 tersebut diteken jenderal badrodin haiti pada 8 oktober 2015 lalu dan telah dikirim ke kepala satuan wilayah kasatwil seluruh indonesia.
Surat edaran kapolri tentang ujaran kebencian hate speech nomor 6 tahun 2015. Surat edaran kepala kepolisian negara nomor se6x2015 tahun 2015 tentang penanganan ujaran kebencian hate speech untuk mendapatkan surat edaran kepala kepolisian negara nomor se6x2015 tahun 2015 silahkan lakukan. Se6x2015tentang ujaran kebencian surat edaran kapolri nomor.
Kepolisian negara republik indonesia markas besar surat edaran nomor. Kedudukan surat edaran kapolri nomor. Hal itu menjadi salah satu poin dalam surat edaran se kapolri soal penanganan ujaran kebencian atau hate speech nomor se06x2015.
Itulah surat edaran kapolri nomor 6 tahun 2015 yang dapat admin kumpulkan. Admin blog Kumpulan Surat Penting juga mengumpulkan gambar-gambar lainnya terkait surat edaran kapolri nomor 6 tahun 2015 dibawah ini.
Sekian yang admin bisa bantu mengenai surat edaran kapolri nomor 6 tahun 2015. Terima kasih telah berkunjung ke blog Kumpulan Surat Penting 2019.









0 Response to "Surat Edaran Kapolri Nomor 6 Tahun 2015"
Post a Comment