Contoh Surat Rekomendasi Dari Dosen Untuk Lanjut S2 Ugm

Berikut detail informasi tentang Contoh Surat Rekomendasi Dari Dosen Untuk Lanjut S2 Ugm.

Penulisan Proposal Lppm Ugm Universitas Gadjah Mada Mafiadoccom

Ugm Universitas Gadjah Mada

Info Biaya Kuliah Magister S2 Di Universitas Gadjah Mada Ugm 2018

Syarat Dan Formulir Pendaftaran Lengkap Ugm

Instiper Yogyakarta

Bpp Dn

Panduan Penulisan Tesis 2016

Lpdp Series 1 Persiapan Dokumen Beasiswa Lpdp Collections Of

Format Surat Rekomendasi Dosen

Faradina Contoh Surat Rekomendasi Untuk Melamar S2 Dan Beasiswa

Format Surat Rekomendasi Dosen

Info Biaya Kuliah Magister S2 Di Universitas Gadjah Mada Ugm 2018

Itulah contoh surat rekomendasi dari dosen untuk lanjut s2 ugm yang dapat admin kumpulkan. Admin blog Kumpulan Surat Penting 2019 juga mengumpulkan gambar-gambar lainnya terkait contoh surat rekomendasi dari dosen untuk lanjut s2 ugm dibawah ini.

Ithengcemani Tips Diterima Beasiswa Unggulan Unggulan Karena

Ugm Universitas Gadjah Mada

Syarat Pendaftaran Program Studi Magister Sains Dan Doktor

Ugm Universitas Gadjah Mada

Tips Diterima Beasiswa Unggulan Unggulan Karena Saking Mudahnya

Untitled

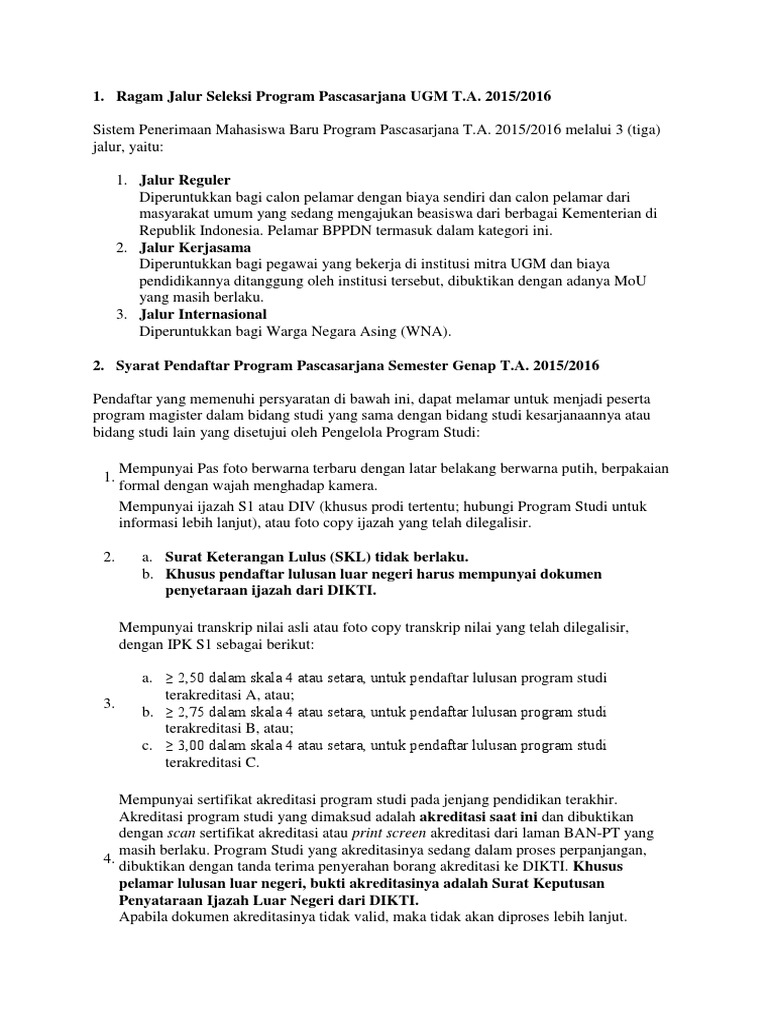
Ragam Jalur Seleksi Program Pascasarjana Ugm T

Ithengcemani Tips Diterima Beasiswa Unggulan Unggulan Karena

I Konsentrasi Yang Ipk S1 Min 250 Dengan Akreditasi Program

Ugm 2017

Sekian yang admin bisa bantu mengenai contoh surat rekomendasi dari dosen untuk lanjut s2 ugm. Terima kasih telah berkunjung ke Kumpulan Surat Penting 2019.


Subscribe to receive free email updates:

0 Response to "Contoh Surat Rekomendasi Dari Dosen Untuk Lanjut S2 Ugm"

Post a Comment